class: center, middle ### W4995 Applied Machine Learning # Preprocessing and Feature Engineering 02/07/18 Andreas C. Müller ??? Today we’ll talk about preprocessing and featureengineering. What we’re talking about today mostly applies to linear models, and not to tree-based models, but it also applies to neural nets and kernel SVMs. FIXME: Yeo-Johnson FIXME: box-cox fitting FIXME: move scaling motivation before scaling FIXME: add illustration of why one-hot is better than integer encoding FIXME: add rank scaler --- class: middle  ??? Let’s go back to the boston housing dataset. The idea was to predict house prices. Here are the features on the x axis and the response, so price, on the y axis. What are some thing you can notice? (concentrated distributions, skewed distibutions, discrete variable, linear and non-linear effects, different scales) The last thing that we're going to do after we did all the preprocessing is a little bit more about feature engineering and how to add features. Feature engineering is most important if we have simple models like linear models. If you do something like support vector machines or neural networks, you probably don't have to do as much feature engineering the because the model can learn more complex things themselves. --- class: center, middle #Scaling ??? N/A --- class: center, middle .center[  ] ??? Let’s start with the different scales. Many model want data that is on the same scale. KNearestNeighbors: If the distance in TAX is between 300 and 400 then the distance difference in CHArS doesn’t matter! Linear models: the different scales mean different penalty. L2 is the same for all! We can also see non-gaussian distributions here btw! --- class: center # Ways to Scale Data
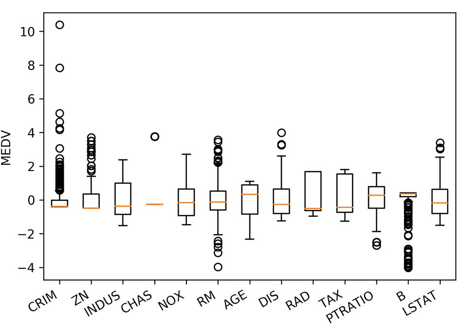
 ??? Here's an illustration of four of the most common ways. One of the most common ones that we already saw before is the Standard Scaler. StandardScaler subtracts the mean and divides by standard deviation. Making all the features have a zero mean and a standard deviation of one. One thing about this is that it won't guarantee any minimum or maximum values. The range can be arbitrarily large. MinMaxScaler subtracts minimum and divides by range. Scales between 0 and 1. So all the features will have an exact minimum at zero and exact maximum at one. This mostly makes sense if there are actually minimum and maximum values in your data set. If it's actually Gaussian distribution, the scaling might not make a lot of sense, because if you add one more data point, it's very far away and it will cram all the other data points more together. This will make sense if you have a grayscale value between 0 and 255 or something else that has like clearly defined boundaries. Another alternative is the RobustScaler. It’s the robust version of the StandardScaler. It computes the median and the quartiles. This cannot be skewed by outliers. The StandardScaler uses mean and standard deviation. So if you have a point that’s very far away, it can have unlimited influence on the mean. The RobustScaler uses robust statistics, so it’s not skewed be outliers. The final one is the Normalizer. This projects things either on the L1 or L0, meaning it makes sure to vectors have length one either in L1 norm or L2 norm. If you do this for L2 norm, it means you don't care about the length you project on a circle. More commonly used in L1 norm, it projects onto the diamond. What that does is basically it means you make sure the sum of all the entries is one. That's often used if you have histograms or if you have counts of things. If you want to make sure that you have frequency features instead of count features, you can use the L1 normalizer. --- class: spacious # Sparse Data - Data with many zeros – only store non-zero entries. - Subtracting anything will make the data “dense” (no more zeros) and blow the RAM. - Only scale, don’t center (use MaxAbsScaler) ??? There’s another one that's important for sparse data. It’s called the MaxAbsScaler in scikit-learn. So sparse data is the kind of data that happens actually quite frequently in practice where most of the features are zero most of the time. So if you have tens of thousands of features, but they're always nearly zero. For example, you can think about these being particular user actions and at any time, any user makes only very few actions. But there are many, many possibilities. So if you have data like that, you only want to store the non-zero values, you don't want to store all the zeros. If you would store all the zeros, the data wouldn't even fit into the RAM often. So you have this very large sparse data set and you want to scale it, but if you subtract anything from it, if you want to make it zero mean then all the entries will be non-zero because the chance that the mean is actually zero is small. So then if you subtract something from everything, you're going to move all those zeros away from zero and then you can't store the data in sparse format and your RAM will blow up. Basically, you can subtract anything from sparse matrix because that won't be sparse anymore. But we can still scale it because any number of times zero is still zero. So if we scale it, then it will have the same structure again. The MaxAbsScaler sets the maximum absolute values to one. Basically, it looks at the maximum absolute values in the whole dataset, or for each feature and makes sure that this is one, just by scaling by one divided by the maximum absolute value. --- # Standard Scaler Example ```python from sklearn.linear_model import Ridge X, y = boston.data, boston.target X_train, X_test, y_train, y_test = train_test_split( X, y, random_state=0) scaler = StandardScaler() scaler.fit(X_train) X_train_scaled = scaler.transform(X_train) ridge = Ridge().fit(X_train_scaled, y_train) X_test_scaled = scaler.transform(X_test) ridge.score(X_test_scaled, y_test) ``` ``` 0.634 ``` ??? Here’s how you do the scaling with StandardScaler in scikit-learn. Similar interface to models, but“transform” instead of “predict”. “transform” is always used when you want a new representation of the data. Fit on training set, transform training set, fit ridge on scaled data, transform test data, score scaled test data. The fit computes mean and standard deviation on the training set, transform subtracts the mean and the standard deviation. We fit on the training set and apply transform on both the training and the test set. That means the training set mean gets subtracted from the test set, not the test-set mean. That’s quite important. --- class: center, middle .center[  ] ??? Here’s an illustration why this is important using the min-max scaler. Left is the original data. Center is what happens when we fit on the training set and then transform the training and test set using this transformer. The data looks exactly the same, but the ticks changed. Now the data has a minimum of zero and a maximum of one on the training set. That’s not true for the test set, though. No particular range is ensured for the test-set. It could even be outside of 0 and 1. But the transformation is consistent with the transformation on the training set, so the data looks the same. On the right you see what happens when you use the test-set minimum and maximum for scaling the test set. That’s what would happen if you’d fit again on the test set. Now the test set also has minimum at 0 and maximum at 1, but the data is totally distorted from what it was before. So don’t do that. --- # Sckit-Learn API Summary  Efficient shortcuts: ```python est.fit_transform(X) == est.fit(X).transform(X) # mostly est.fit_predict(X) == est.fit(X).predict(X) # mostly ``` ??? Here’s a summary of the scikit-learn methods. All models have a fit method which takes the training data X_train. If the model is supervised, such as our classification and regression models, they also take a y_train parameter. The scalers don’t use a y_train because they don’t use the labels at all – you could say they are unsupervised methods, but arguably they are not really learning methods at all. Models (also known as estimators in scikit-learn) to make a prediction of a target variable, you use the predict method, as in classification and regression. If you want to create a new representation of the data, a new kind of X, then you use the transform method, as we did with scaling. The transform method is also used for preprocessing, feature extraction and feature selection, which we’ll see later. All of these change X into some new form. There’s two important shortcuts. To fit an estimator and immediately transform the training data, you can use fit_transform. That’s often more efficient then using first fit and then transform. The same goes for fit_predict. --- # Scaling and Distances  ??? Here is an example of the importance of scaling using a distance-based algorithm, K nearest neighbors. My favorite toy dataset with two classes in two dimensions. The scatter plots look identical, but on the left hand side, the two axes have very different scales. The x axis has much larger values than the y axis. On the right hand side, I used standard scaler and so both features have zero mean and unit variance. So what do you think will happen if I use k nearest neighbors here? Let's see --- # Scaling and Distances  ??? As you can see, the difference is quite dramatic. Because the X axis has such a larger magnitude on the left-hand side, only distances along the x axis matter. However, the important feature for this task is the y axis. So the important feature gets entirely ignored because of the different scales. And usually the scales don't have any meaning - it could be a matter of changing meters to kilometers. --- class: smaller, compact ```python from sklearn.model_selection import cross_val_score from sklearn.linear_model import RidgeCV scores = cross_val_score(RidgeCV(), X_train, y_train, cv=10) np.mean(scores), np.std(scores) ``` ``` (0.717, 0.125) ``` ```python scores = cross_val_score(RidgeCV(), X_train_scaled, y_train, cv=10) np.mean(scores), np.std(scores) ``` ``` (0.718, 0.127) ``` ```python from sklearn.neighbors import KNeighborsRegressor scores = cross_val_score(KNeighborsRegressor(), X_train, y_train, cv=10) np.mean(scores), np.std(scores) ``` ``` (0.499, 0.146) ``` ```python from sklearn.neighbors import KNeighborsRegressor scores = cross_val_score(KNeighborsRegressor(), X_train_scaled, y_train, cv=10) np.mean(scores), np.std(scores) ``` ``` (0.750, 0.106) ``` ??? Let’s apply the scaler to the Boston housing data. First I used the StandardScaler to scale the training data. Then I applied ten-fold cross-validation to evaluate the Ridge model on the data with and without scaling. I used RidgeCV which automatically picks alpha for me. With and without scaling we get an R^2 of about .72, so no difference. Often there is a difference for Ridge, but not in this case. If we use KneighborsRegressor instead, we see a big difference. Without scaling R^2 is about .5, and with scaling it’s .75. That makes sense since we saw that for distance calculations basically all features are dominated by the TAX feature. However, there is a bit of a problem with the analysis we did here. Can you see it? --- class: center, middle # A note on preprocessing # (and pipelines) ??? I want to talk a bit more about preprocessing and cross-validation here, and introduce pipelines. --- class: some-space #Leaking Information .left-column[ Information Leak  ] .right-column[ No Information leakage ] .reset-column[ Need to include preprocessing in cross-validation ! ] ??? What we did was we trained the scaler on the training data, and then applied cross-validation to the scaled data. Tha’s what’s show on the left. The problem is that we use the information of all of the training data for scaling, so in particular the information in the test fold. This is also known as information leakage. If we apply our model to new data, this data will not have been used to do the scaling, so our cross-validation will give us a biased result that might be too optimistic. On the right you can see how we should do it: we should only use the training part of the data to find the mean and standard deviation, even in cross-validation. That means that for each split in the cross-validation, we need to scale the data a bit differently. This basically means the scaling should happen inside the cross-validation loop, not outside. In practice, estimating mean and standard deviation is quite robust and you will not see a big difference between the two methods. But for other preprocessing steps that we’ll see later, this might make a huge difference. So we should get it right from the start. --- class: smaller ```python from sklearn.linear_model import Ridge X, y = boston.data, boston.target X_train, X_test, y_train, y_test = train_test_split(X, y, random_state=0) scaler = StandardScaler() scaler.fit(X_train) X_train_scaled = scaler.transform(X_train) ridge = Ridge().fit(X_train_scaled, y_train) X_test_scaled = scaler.transform(X_test) ridge.score(X_test_scaled, y_test) ``` ``` 0.634 ``` ```python from sklearn.pipeline import make_pipeline pipe = make_pipeline(StandardScaler(), Ridge()) pipe.fit(X_train, y_train) pipe.score(X_test, y_test) ``` ``` 0.634 ``` ??? Now I want to show you how to do preprocessing and crossvalidation right with scikit-learn. At the top here you see the workflow for scaling the data and then applying ridge again. Fit the scaler on the training set, transform on the training set, fit ridge on the training set, transform the test set, and evaluate the model. Because this is such a common pattern, scikit-learn has a tool to make this easier, the pipeline. The pipeline is an estimator that allows you to chain multiple transformations of the data before you apply a final model. You can build a pipeline using the make_pipeline function. Just provide as parameters all the estimators. All but the last one need to have a transform method. Here we only have two steps: the standard scaler and ridge. make_pipeline returns an estimator that does both steps at once. We can call fit on it to fit first the scaler and then ridge on the scaled data, and when we call score, it transforms the data and then evaluates the model. The code below is exactly equivalent to the code above, only shorter. --- class: left, middle .center[  ] ??? Let’s dive a bit more into the pipeline. Here is an illustration of what happens with three steps, T1, T2 and Classifier. Imagine T1 to be a scaler and T2 to be any other transformation of the data. If we call fit on this pipeline, it will first call fit on the first step with the input X. Then it will transform the input X to X1, and use X1 to fit the second step, T2. Then it will use T2 to transform the data from X1 to X2. Then it will fit the classifier on X2. If we call predict on some data X’, say the test set, it will call transform on T1, creating X’1. Then it will use T2 to transform X’1 into X’2, and call the predict method of the classifier on X’2. This sounds a bit complicated, but it’s really just doing “the right thing”to apply multiple transformation steps. --- .padding-top[ ```python from sklearn.neighbors import KNeighborsRegressor knn_pipe = make_pipeline(StandardScaler(), KNeighborsRegressor()) scores = cross_val_score(knn_pipe, X_train, y_train, cv=10) np.mean(scores), np.std(scores) ``` ``` (0.745, 0.106) ``` ] ??? How does that help with the cross-validation problem? Because now all steps are contain in pipeline, we can simply pass the whole pipeline to crossvalidation, and all processing will happen inside the cross-validation loop. That solve the data leakage problem. Here you can see how we can build a pipeline using a standard scaler and kneighborsregressor and pass it to cross-validation. --- # Naming Steps ```python from sklearn.pipeline import make_pipeline knn_pipe = make_pipeline(StandardScaler(), KNeighborsRegressor()) print(knn_pipe.steps) ``` ``` [('standardscaler', StandardScaler(with_mean=True, with_std=True)), ('kneighborsregressor', KNeighborsRegressor(algorithm='auto', ...))] ``` ```python from sklearn.pipeline import Pipeline pipe = Pipeline((("scaler", StandardScaler()), ("regressor", KNeighborsRegressor))) ``` ??? But let’s talk a bit more about pipelines, because they are great. The pipeline has an attribute called steps, which --- contains its steps. Steps is a list of tuples, where the first entry is a string and the second is an estimator (model). The string is the “name” that is assigned to this step in the pipeline. You can see here that our first step is called “standardscaler” in all lower case letters, and the second is called kneighborsregressor, also all lower case letters. By default, step names are just lowercased classnames. You can also name the steps yourself using the Pipeline class directly. Then you can specify the steps as tuples of name and estimator. make_pipeline is just a shortcut to generate the names automatically. --- # Pipeline and GridSearchCV .small-padding-top[ ```python from sklearn.model_selection import GridSearchCV knn_pipe = make_pipeline(StandardScaler(), KNeighborsRegressor()) param_grid = {'kneighborsregressor__n_neighbors': range(1, 10)} grid = GridSearchCV(knn_pipe, param_grid, cv=10) grid.fit(X_train, y_train) print(grid.best_params_) print(grid.score(X_test, y_test)) ``` ``` {'kneighborsregressor__n_neighbors': 7} 0.60 ``` ] ??? These names are important for using pipelines with gridsearch. Recall that for using GridSearchCV you need to specify a parameter grid as a dictionary, where the keys are the parameter names. If you are using a pipeline inside GridSearchCV, you need to specify not only the parameter name, but also the step name – because multiple steps could have a parameter with the same name. The way to do this is to use the stepname, then two underscores, and then the parameter name, as the key for the param_grid dictionary. You can see that the best_params_ will have this same format. This way you can tune the parameters of all steps in a pipeline at once! And you don’t have to worry about leaking information, since all transformations are contained in the pipeline. You should always use pipelines for preprocessing. Not only does it make your code shorter, it also makes it less likely that you have bugs. --- class: left, middle # Feature Distributions ??? Now that we discussed scaling and pipelines, let’s talk about some more preprocessing methods. One important aspect is dealing with different input distributions. --- class: left, middle .center[  ] ??? Here is a box plot of the boston housing data after transforming it with the standard scaler. Even though the mean and standard deviation are the same for all features, the distributions are quite different. You can see very concentrated distributions like Crim and B, and very skewed distribuations like RAD and Tax (and also crim and B). Many models, in particular linear models and neural networks, work better if the features are approximately normal distributed. Let’s also check out the histograms of the data to see a bit better what’s going on. --- class: left, middle .center[  ] ??? Clearly CRIM and ZN and B are very peaked, and LSTAT and DIS and Age are very asymmetric. Sometimes you can use a hack like applying a logarithm to the data to get better behaved values. There is slightly more rigorous technique though. --- # Box-Cox Transform .left-column[ $$bc_{\lambda}(x) = \cases{\frac{x^\lambda - 1}{\lambda} & \text{if } \lambda \neq 0\cr log(x) & \text{if } \lambda = 0 }$$ Only applicable for positive x! ] .right-column[  ] .reset-column[ ```python # sklearn 0.20-dev from sklearn.preprocessing import PowerTransformer pt = PowerTransformer(method='box-cox') # soon: Yeo-Johnson pt.fit(X) ``` ] ??? The Box-Cox transformation is a family of univariate functions to transform your data, parametrized by a parameter lambda. For lamda=1 the function is the identity, for lambda = 2 it is square, lambda =0 is log and there is many other functions in between. For a given dataset, a separate parameter lambda is determined for each feature, by minimizing the skewdness of the data (making skewdness close to zero, not close to -inf), so it is more “gaussian”. The skewdness of a function is a measure of the asymmetry of a function and is 0 for functions that are symmetric around their mean. Unfortunately the Box-Cox transformation is only applicable to positive features. --- .wide-left-column[  ] .narrow-right-column[Before] .clear-column[] .wide-left-column[] .narrow-right-column[After] ??? Here are the histograms of the original data and the transformed data. The title of each subplot shows the estimated lambda. If the lambda is close to 1, the transformation didn’t change much. If it is away from 1, there was a significant transformation. You can clearly see the effect on “CRIM” which was approximately log-transformed, and lstat and nox which were approximately transformed by sqrt. For the binary CHAS the transformation doesn’t make a lot of sense, though. --- .wide-left-column[  ] .narrow-right-column[Before] .clear-column[] .wide-left-column[] .narrow-right-column[After] ??? Here is a comparison of the feature vs response plot before and after the box-cox transformation. The dis, lstat and crim relationships now look a bit more obvious and linear. --- class: left, middle # Discrete features --- class: center, middle # Categorical Variables .larger[ $$ \lbrace 'red', 'green', 'blue' \rbrace \subset ℝ^p ? $$ ] ??? Before we can apply a machine learning algorithm, we first need to think about how we represent our data. Earlier, I said x \in R^n. That’s not how you usually get data. Often data has units, possibly different units for different sensors, it has a mixture of continuous values and discrete values, and different measurements might be on totally different scales. First, let me explain how to deal with discrete input variables, also known as categorical features. They come up in nearly all applications. Let’s say you have three possible values for a given measurement, whether you used setup1 setup2 or setup3. You could try to encode these into a single real number, say 0, 1 and 2, or e, \pi, \tau. However, that would be a bad idea for algorithms like linear regression --- class: center, middle # Categorical Variables .center[] ??? If you encode all three values using the same feature, then you are imposing a linear relation between them, and in particular you define an order between the categories. Usually, there is no semantic ordering of the categories, and so we shouldn’t introduce one in our representation of the data. Instead, we add one new feature for each category, And that feature encodes whether a sample belongs to this category or not. That’s called a one-hot encoding, because only one of the three features in this example is active at a time. You could actually get away with n-1 features, but in machine learning that usually doesn’t matter --- class: center, middle .center[] .center[] ??? One way to do is with Pandas. Here I have an example of a data frame where I have the boroughs of New York as a categorical variable and variable salary. One to get the dummies is to get dummies on this data frame. This will create new columns, it will actually replace borough column by four columns that correspond to the four different values. The get_dummies applies transformation to all columns that have a dtype that's either object or categorical. --- class: center, middle .center[] .left-column[] .right-column[] ??? Sometimes, someone has already encoded the categorical variables to integers like here. So here this is exactly the same information only except instead of strings you have them numbered. If you call the get_dummies on this nothing happens because none of them are object data types or categorical data types. If you want to look at the One Hot Encoding, you can explicitly pass columns equal and this will transform into boro_1, boro_2, boro_3. The question is, why do I want to have this encoding instead of just enumerating them 01234. Making them 01234, you have to put an order on them and often there's not a natural order. The question is, why do we use a tree. So ideally, if you use a tree, then it'll handle categorical variables by itself and then it can actually do the split in one go. In scikit-learn unfortunately, it cannot. But it's still depends on the order. Right now, in scikit-learn, it would be treated as a continuous variable. So each individual node could make only these splits but you can have multiple nodes and that can make arbitrary splits. So doing these two things is not the same, but they probably both work. If you didn’t want it One Hot Encoding and do it in a tree right now, scikit-learning can only split away one class in each note that it does a split. Here it can split all the class apart, but only according to the numbering. So coming back to how to do this with pandas. There's one issue though, if you do this with pandas, there’s not four but five boroughs. --- class: center, middle .center[] ??? If someone else gives you a new data set and in this new data set there is Staten Island, Manhattan, Bronx and Brooklyn. So new dataset doesn't have anyone from Queens. So now you transform this with get_dummies, you get something that has the same shape as the original data but actually, the last column means something completely different. Because now the last column is Staten Island, not Queens. If someone gives you separate training and test data sets, if you call get_dummies, you don't know that the columns correspond actually to the same thing. Unless you take care of the names, unfortunately, scikit-learn completely ignores column names. --- class: smaller #Pandas Categorical Columns ```python import pandas as pd df = pd.DataFrame({'salary': [103, 89, 142, 54, 63, 219], 'boro': ['Manhattan', 'Queens', 'Manhattan', 'Brooklyn', 'Brooklyn', 'Bronx']}) df['boro'] = pd.Categorical( df.boro, categories=['Manhattan', 'Queens', 'Brooklyn', 'Bronx', 'Staten Island']) pd.get_dummies(df) ``` ``` salary boro_Manhattan boro_Queens boro_Brooklyn boro_Bronx boro_Staten Island 0 103 1 0 0 0 0 1 89 0 1 0 0 0 2 142 1 0 0 0 0 3 54 0 0 1 0 0 4 63 0 0 1 0 0 5 219 0 0 0 1 0 ``` ??? The way to fix this is by using Pandas categorical types. Since we know what the boroughs of Manhattan are, we can create Pandas categorical dtype, we can create this categorical dtype with the categories Manhattan, Queens, Brooklyn, Bronx, and Staten Island. So now I have my column here and I'm going to convert it to a categorical dtype. So now it will not actually store the strings. It will just internally store zero to four, and it will also store what are the possible values. If a call get_dummies it will use all the possible values and for each of the possible values it will create a column. Even though Staten Island has not appeared in my dataset, it will still make a column for Staten Island. If I fix this categorical dtype I can apply it to the training and test data set and that'll make sure all the columns are always the same no matter what are the values are actually in the data set. --- #OneHotEncoder ```python from sklearn.preprocessing import OneHotEncoder df = pd.DataFrame({'salary': [103, 89, 142, 54, 63, 219], 'boro': [0, 1, 0, 2, 2, 3]}) ohe = OneHotEncoder(categorical_features=[0]).fit(df) ohe.transform(df).toarray() ``` ``` array([[ 1., 0., 0., 0., 103.], [ 0., 1., 0., 0., 89.], [ 1., 0., 0., 0., 142.], [ 0., 0., 1., 0., 54.], [ 0., 0., 1., 0., 63.], [ 0., 0., 0., 1., 219.]]) ``` - Only works for integers right now, not strings. ??? You can also do this with scikit-learn. There are two ways to do this scikit-learn. The old way is One Hot Encoder. It’s a transformer, so you can call fit on something and call transform on something else. This fit transform paradigm in scikit-learn prevents you from having these columns matches. What this does is basically, it only considers the ones that are there during training and if there's a new value coming in during testing, it either throws that out or gives you an error depending on what parameters you set. This will actually produce by default, the sparse matrix so it will not actually store all the zeros. an You can also set a configuration option so that it will always return. The annoying thing with this is, this works only for integers. So one hot encoder, if you give it a string, it'll just say no. The one hot encoder assumes that the integers are from zero to number of categories, so if I would want to encode the salary column, it'll create 219 features, which are also not always what you want. The other way to do it is a new way which is not released yet. What this does is it works on strings and integers. But it always does it on all columns and it computes the unique values. Here for salary there six unique value, so add six columns for salary and then there are four values for borough. So this is actually what you want but you only want to apply it to a subset of the columns. --- # CategoricalEncoder ```python import pandas as pd df = pd.DataFrame({'salary': [103, 89, 142, 54, 63, 219], 'boro': ['Manhattan', 'Queens', 'Manhattan', 'Brooklyn', 'Brooklyn', 'Bronx']}) ce = CategoricalEncoder().fit(df) ce.transform(df).toarray() ``` ``` array([[ 0., 0., 1., 0., 0., 0., 0., 1., 0., 0.], [ 0., 0., 0., 1., 0., 0., 1., 0., 0., 0.], [ 0., 0., 1., 0., 0., 0., 0., 0., 1., 0.], [ 0., 1., 0., 0., 1., 0., 0., 0., 0., 0.], [ 0., 1., 0., 0., 0., 1., 0., 0., 0., 0.], [ 1., 0., 0., 0., 0., 0., 0., 0., 0., 1.]]) ``` - Always transforms all columns ??? - Fit-transform paradigm ensures train and test-set categories correspond. --- # The Future ## CategoricalEncoder + ColumnTransformer ```python categorical = df.dtypes == object preprocess = make_column_transformer( (StandardScaler(), ~categorical), (CategoricalEncoder(), categorical)) model = make_pipeline(preprocess, LogisticRegression()) ``` ??? There's this thing that's going to be hopefully in the next version of scikit-learn called column transformer, which allows you to transforms only some of the columns. For example, you can call categorical encoder only on the categorical columns and call StandardScaler on the non-categorical columns, and then use that to preprocess your data. Right now using Pandas, make sure your column names match up, make everything to an integer, use One Hot Encoder or get the development version. --- class: some-space #OneHot vs Statisticians - One-hot is redundant (last one is 1 – sum of others) - Can introduce co-linearity - Can drop one - Choice which one matters for penalized models - Keeping all can make the model more interpretable ??? N/A --- class: some-space #Models Supporting Discrete Features - In principle: - All tree-based models, naive Bayes - In scikit-learn: - None - In scikit-learn soon: - Decision trees, random forests ??? In principle all tree-based models support categorical features, in scikit-learn none of them do, hopefully, soon they will. So what you can do is either you do the One Hot Encoder or you just encode this as integers and treat it as a continuous. If you have very high categorical variables with many levels, maybe it keeping it as an integer might make more sense. --- class: some-space #Count-Based Encoding - For high cardinality categorical features - Example: US states, given low samples - Instead of 50 one-hot variables, one “response encoded” variable. - For regression: - "people in this state have an average response of y” - Binary classification: – “people in this state have likelihood p for class 1” - Multiclass: – One feature per class: probability distribution ??? So there's also another way to encode categorical variables that is often used, I like to call it Count-Based Encoding. It's basically for very high cardinality categorical features. For example, if you have categorical feature it's all US states and you don't have a lot of samples or if you have categorical features that's all US zip codes, if you have all different things, you don't want to do One Hot Encoding. So you get 50 new features, which if you don't have a lot of data would be a lot of features. So instead, you can use one single variable, it basically encodes the response. So for regression, it would be people in this state have an average response of that. Obviously you don't want to do this on the test set basically or you want to do this on the whole dataset for each level of the categorical variable, you want to find out what is the mean response and just use this as the future value. So you get one single future. For binary classification, you can just use the fraction of people that are classified as Class One. For multi-class, you usually do the percentage or fraction of people in each of the classes. So in multi-class, you get one new feature per class and you count for each state how many people in this state are classified for each of them. --- class: compact # Example: Adult census, native-country .smallest[ ```python data = pd.read_csv("adult.csv") data.columns ``` ``` Index(['age', 'workclass', 'education', 'education-num', 'marital-status', 'occupation', 'relationship', 'race', 'gender', 'capital-gain', 'capital-loss', 'hours-per-week', 'native-country', 'income'], dtype='object') ``` ```python data['native-country'].value_counts() ``` .left-column[ ``` United-States 29170 Mexico 643 ? 583 Philippines 198 Germany 137 Canada 121 Puerto-Rico 114 El-Salvador 106 India 100 Cuba 95 England 90 Jamaica 81 South 80 China 75 Italy 73 Dominican-Republic 70 ``` ] .right-column[ ``` Vietnam 67 Guatemala 64 Japan 62 Poland 60 Columbia 59 Taiwan 51 Haiti 44 Iran 43 Portugal 37 Nicaragua 34 Peru 31 France 29 Greece 29 Ecuador 28 Ireland 24 Hong 20 Trinadad&Tobago 19 Cambodia 19 Thailand 18 Laos 18 Yugoslavia 16 Outlying-US(Guam-USVI-etc) 14 Hungary 13 Honduras 13 Scotland 12 Holand-Netherlands 1 Name: native-country, dtype: int64 ``` ] ] ??? A slightly different example which is the adult census. This is the dataset with stuff about jobs of adults living in the US and the idea is to predict whether their income is smaller or bigger than 50K a year. One of the variables in this is the country of origin. Most of the people in this dataset come from the US but there's a bunch of people from other countries. Using the response encoding instead of adding like 15 new features I only encode it as one new feature. --- .smallest[ .left-column[ ``` <=50K >50K ? 0.749571 0.250429 Cambodia 0.631579 0.368421 Canada 0.677686 0.322314 China 0.733333 0.266667 Columbia 0.966102 0.033898 Cuba 0.736842 0.263158 Dominican-Republic 0.971429 0.028571 Ecuador 0.857143 0.142857 El-Salvador 0.915094 0.084906 England 0.666667 0.333333 France 0.586207 0.413793 Germany 0.678832 0.321168 Greece 0.724138 0.275862 Guatemala 0.953125 0.046875 Haiti 0.909091 0.090909 Holand-Netherlands 1.000000 0.000000 Honduras 0.923077 0.076923 Hong 0.700000 0.300000 Hungary 0.769231 0.230769 India 0.600000 0.400000 Iran 0.581395 0.418605 Ireland 0.791667 0.208333 Italy 0.657534 0.342466 Jamaica 0.876543 0.123457 Japan 0.612903 0.387097 Laos 0.888889 0.111111 Mexico 0.948678 0.051322 Nicaragua 0.941176 0.058824 Outlying-US(Guam-USVI-etc) 1.000000 0.000000 Peru 0.935484 0.064516 Philippines 0.691919 0.308081 Poland 0.800000 0.200000 Portugal 0.891892 0.108108 Puerto-Rico 0.894737 0.105263 Scotland 0.750000 0.250000 South 0.800000 0.200000 Taiwan 0.607843 0.392157 Thailand 0.833333 0.166667 Trinadad&Tobago 0.894737 0.105263 United-States 0.754165 0.245835 Vietnam 0.925373 0.074627 Yugoslavia 0.625000 0.375000 ``` ]] -- .smallest[ .right-column[ ``` frequency native-country income 0.245835 United-States <=50K 0.245835 United-States <=50K 0.245835 United-States <=50K 0.245835 United-States <=50K 0.263158 Cuba <=50K 0.245835 United-States <=50K 0.123457 Jamaica <=50K 0.245835 United-States >50K 0.245835 United-States >50K 0.245835 United-States >50K 0.245835 United-States >50K 0.400000 India >50K 0.245835 United-States <=50K 0.245835 United-States <=50K 0.250429 ? >50K 0.051322 Mexico <=50K 0.245835 United-States <=50K 0.245835 United-States <=50K 0.245835 United-States <=50K 0.245835 United-States >50K 0.245835 United-States >50K 0.245835 United-States <=50K 0.245835 United-States <=50K 0.245835 United-States <=50K 0.245835 United-States <=50K 0.245835 United-States >50K 0.245835 United-States <=50K 0.200000 South >50K 0.245835 United-States <=50K 0.245835 United-States <=50K 0.245835 United-States <=50K 0.245835 United-States <=50K 0.245835 United-States <=50K 0.245835 United-States <=50K 0.245835 United-States <=50K ``` ]] ??? So the way I do this is for each country that someone can be from, I can look at how many people make less than 50k and more than 50k. People from the Netherlands alway make less than 50k in this dataset. People from Iran doing pretty well prepared, people from Ireland are not doing so well. For each native country, I just added a feature that I call frequency. And if it's in the States, I give the feature value that corresponds to the United States in the table. So everybody from the United States will have the same feature and so on. And so now I just have a single feature that hopefully encodes the information of the country. --- class: left, middle #Feature Engineering ??? I want to talk a little bit about feature engineering and in particular about interaction features. For linear models, interaction features are actually quite interesting. --- class: center #Interaction Features  ??? So let's look at this 2 dimensional dataset, 2 classes. --- class: center #Interaction Features   ??? If I fit the model, do logistic regression, I get something like this, which does very badly. But if I do feature engineering, it means I add new features to dataset which will make my linear model more powerful. --- class: center, middle   ??? So one idea would be to just add the product of the 2 existing features. So add a new feature that's like x zero times x one, and now I'm in a 3-dimensional space. In the 3 dimensional space, I can literally separate the data. --- .center[  ] .smaller[ ```python X_i_train, X_i_test, y_train, y_test = train_test_split( X_interaction, y, random_state=0) logreg3 = LogisticRegressionCV().fit(X_i_train, y_train) logreg3.score(X_i_test, y_test) ``` ] ``` 0.960 ``` ??? If it’s projected down to the original space, it will be this black curve which is the logistic regression. So it's a linear classifier only in the expanded 3-dimensional feature space where it added the interaction. Interactions are one way to who blow up the feature space, adding more features in particular for linear models makes the model much more powerful. So you can do this for continuous features. --- .center[] - One model per gender! - Keep original: common model + model for each gender to adjust. - Product of multiple categoricals: common model + multiple models to adjust for combinations ??? For discrete features, it does something slightly different. So assume I have a database of users with an age, how many objects they bought, gender, how much money they spend on my website, and how much time they spend on my website. So I can Hot Encode the gender and they get like gender variable at 01. So now if I do interaction features of all the different features with the gender feature, it looks like this. Now I have age times male, article bought times male, males spend time, spend dollar male and so on and likewise for female. This is just the interaction features but the gender features are either zero or one. And so what this means is, these features are only active for men, these features only active for women. So learning a model on this feature space is basically the same as learning two separate models, one for men and one for women. What you might want to do is use the original features, and then use the feature interaction with men and the feature interaction with women. So you have a shared model, and then you have how men and women deviate from this model. So now you basically if you do that you have three times as many degrees of freedom in your linear model. --- # More interactions .padding-top[ ``` age articles_bought gender spend$ time_online + Male * (age articles_bought spend$ time_online ) + Female * (age articles_bought spend$ time_online ) + (age > 20) * (age articles_bought gender spend$ time_online) + (age <= 20) * (age articles_bought gender spend$ time_online) + (age <= 20) * Male * (age articles_bought gender spend$ time_online) ``` ] ??? You can obviously do this with more discrete variables, let's say you have the original features, then you have a model that has the features only for men, a model that has the features only for women, then you can have a model only for people above 20, a model for people only below 20, a model for people below 20 that are male, and so on. So by adding these interaction features to basically create a bigger, bigger features space, which allows you to have linear models that adjust for a subpopulation of the overall dataset. So now I have instead of having six features, I now have 36 features and can have a much more powerful model. --- class: center # Polynomial Features  ??? N/A --- class: center # Polynomial Features  ??? You can also add polynomials. So the thing called polynomial features in scikit-learn does interactions between all possible features and it adds polynomials. If you do interactions only equal to true, it will only do interactions and then the order is how many features it doesn't interactions with. Order of three means all products of three features. By default interactions is false and it’ll add also the powers of single feature, which only makes sense for continuous features. So for each x it will add x squared, x cube and so on. All right, that's all for today. --- class: spacious # Polynomial Features .small-padding-top[ - PolynomialFeatures() adds polynomials and interactions. - Transformer interface like scalers etc. - Create polynomial algorithms with make_pipeline! ] ??? N/A --- class: smaller # Polynomial Features ```python from sklearn.preprocessing import PolynomialFeatures poly = PolynomialFeatures() X_bc_poly = poly.fit_transform(X_bc_scaled) print(X_bc_scaled.shape) print(X_bc_poly.shape) ``` ``` (379, 13) (379, 105) ``` ```python scores = cross_val_score(RidgeCV(), X_bc_scaled, y_train, cv=10) np.mean(scores), np.std(scores) ``` ``` (0.759, 0.081) ``` ```python scores = cross_val_score(RidgeCV(), X_bc_poly, y_train, cv=10) np.mean(scores), np.std(scores) ``` ``` (0.865, 0.080) ``` ??? N/A --- class: spacious # Other Features? - Plot the data, see if there are periodic patterns! ??? N/A --- class: spacious # Discretization and Binning - Loses data. - Target-independent might be bad - Powerful combined with interactions to create new features! ??? N/A