class: center, middle ### W4995 Applied Machine Learning # LSA & Topic Models 04/13/20 Andreas C. Müller ??? Today, I'm going to talk about Latent Semantic Analysis and topic models, and a bit of Non-negative matrix factorization. The overarching theme is extracting information from text corpuses in an unsupervised way. FIXME How to apply LDA (and NMF?) to test-data FIXME WHY / How FIXME steal from Tim Hoppers talk!! https://www.youtube.com/watch?v=_R66X_udxZQ FIXME do MCMC LDA (code)? FIXME explain MCMC? FIXME classification with logisticregressioncv instead of fixed C? FIXME preprocessing for LDA: mention no tfidf. FIXME Classification with NMF. FIXME Classification with LDA vs LSA? FIXME add non-negative constraint on NMF to objective slide? --- # Beyond Bags of Words Limitations of bag of words: - Semantics of words not captured - Synonymous words not represented - Very distributed representation of documents ??? One possible reason to do this is that you want to get a representation of your text data that's more semantic. In bag of words, the semantics of the words are not really captured at all. Synonymous words are not represented, if you use a synonym it will be like a completely different feature and will have nothing to do with another feature. The representation is very distributed, you have hundreds of thousands of features and it's kind of hard to reason about such a long vector sometimes, in particular, if you have longer documents. Today, we're going to talk about classical unsupervised methods. And next time, we're going to talk about word vectors and word embedding, which also tries to solve the same problem of getting more semantically meaningful representations for text data. --- class: center, middle # Topic Models ??? Next, I want to talk a little bit about models that are somewhat more specific to the text data, or that allows us maybe to interpret the text data a little bit more clearly. The idea of topic models is basically that each document is created as a mixture of topics. Each topic is a distribution over words. And we want to learn the topics that are relevant to our corpus and which of these topics contribute to each individual document. Topics could be the genre of movie, or the sentiment, or the comment writer sophistication, or whether English is their native language or so on. And so each of them is would be topics. So the topic is not necessarily sorted of semantic topic, but something that influences the choice of vocabulary for a given document. For each document, you assume that several of these topics are active and others are not and they have very varying importance. So movies could be mixtures of different genres and then they could have words from multiple genres. --- class: spacious # Motivation - Each document is created as a mixture of topics - Topics are distributions over words - Learn topics and composition of documents simultaneously - Unsupervised (and possibly ill-defined) ??? This is an unsupervised task, so it’s probably ill-defined and so results are open to interpretation, and also depend on how exactly you formulate the task. --- #Matrix Factorization
.center[  ] ??? So matrix factorization algorithm works like this. We have our data matrix, X, which is number of samples times number of features. And we want to factor it into two matrices, A and B. A is number of samples times k and B is k times number of features. If we do this in some way, we get for each sample, a new representation in k-dimensional, each row of k will correspond to one sample and the columns of B will correspond to the input features. So they encode how the entries of A correspond to the original data. Often this is called latent representation. So, these new features here in A, somehow represent the rows of X and the features are encoded in B. --- #Matrix Factorization
.center[  ] sklearn speak: `A = mf.transform(X)` ??? --- #PCA
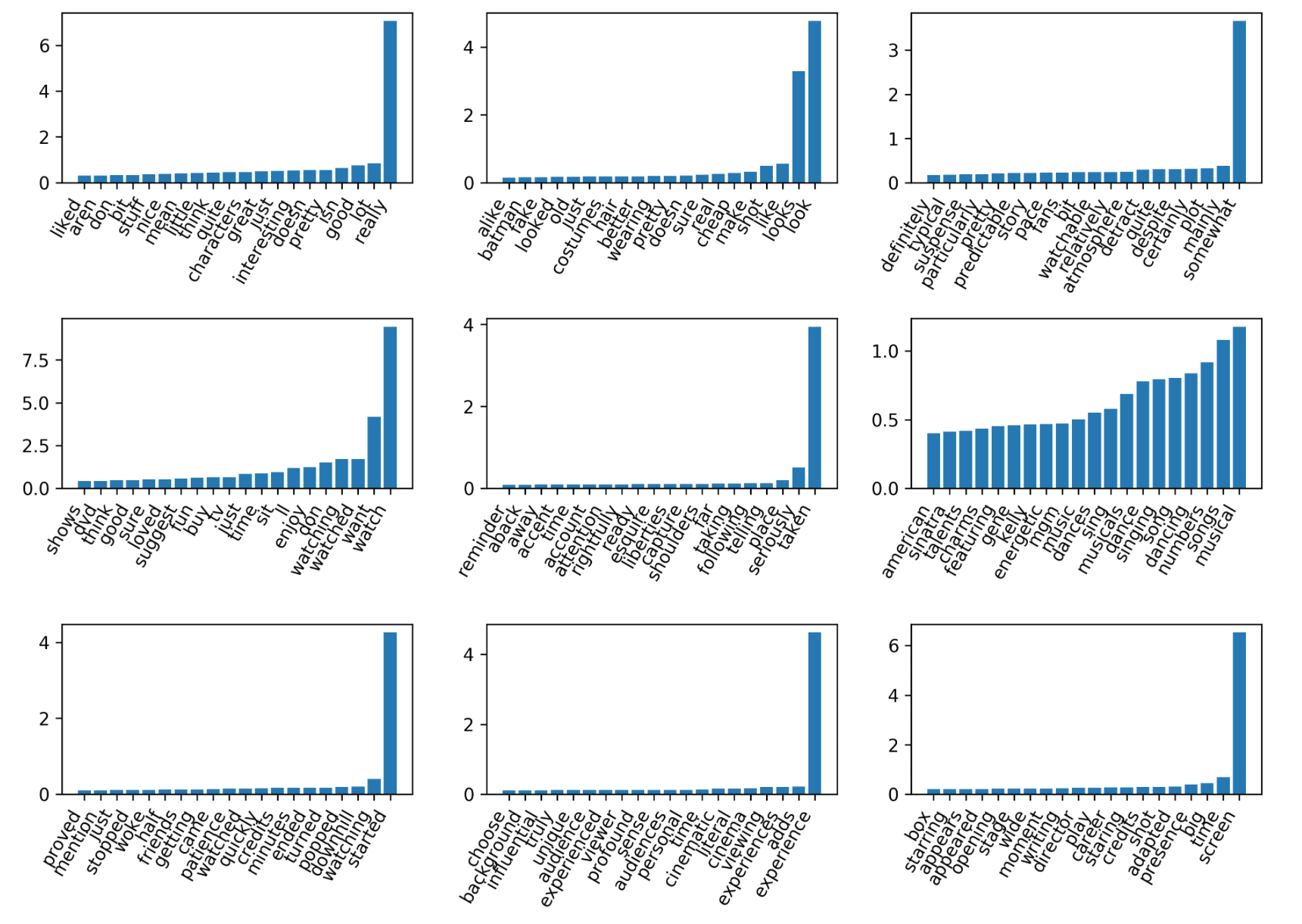
.center[  ] ??? The one example of this that we already saw is principal component analysis. In PCA, B was basically the rotation and then a projection. And A is just the projection of X. This is just one particular factorization you can do. I have the sign equal, but usually, more generally, you're trying to find matrixes A and B so that this is as close to equal as possible. In particular, for PCA, what we're trying to do is we try to find matrices A and B so that the rows of B are orthogonal, and we restrict the rank of k. K would be the number of components and we get PCA, if we restrict the columns of B to be orthogonal, then the product of matrixes A and B is most close to X in the least square sense is the principal component analysis. --- # Latent Semantic Analysis (LSA) - Reduce dimensionality of data. - Can't use PCA: can't subtract the mean (sparse data) - Instead of PCA: Just do SVD, truncate. - "Semantic" features, dense representation. - Easy to compute - convex optimization ??? LSA is basically just the same as PCA. The idea is to reduce the dimensionality of the data to some semantically meaningful components. The thing is, we can't easily do PCA here, because we can’t remove the mean. Remember, this is a sparse dataset and so the zero is sort of meaningful and if we shift the zero, like by trying to subtract the mean, we will get a density dataset that won't have many zeros anymore and so we won’t be able to even store it. There are ways to still compute PCA without explicitly creating a big dense matrix, but in the traditional LSA, we just ignore that and do a singular value decomposition of the data. This is exactly the same computation as PCA, only, we don't subtract the mean. This is very easy to compute. You can do the SVD very easily. And there's a unique solution that you can compute. And then you have something that's like a dense representation of the data and hopefully, it's semantic in some way. As with all unsupervised methods, this can be hit or miss a little bit. --- # LSA with Truncated SVD .smaller[ ```python from sklearn.feature_extraction.text import CountVectorizer vect = CountVectorizer(stop_words="english", min_df=4) X_train = vect.fit_transform(text_train) X_train.shape ``` ``` (25000, 30462) ``` ```python from sklearn.decomposition import TruncatedSVD lsa = TruncatedSVD(n_components=100) X_lsa = lsa.fit_transform(X_train) lsa.components_.shape ``` ``` (100, 30462) ``` ] ??? So the way to do this with scikit-learn is with truncated SVD. Truncated SVD is basically the implementation of PCA that doesn't subtract the mean. We didn't call it LSA, because if you do this in the context of text processing, you can do this whenever you have a sparse dataset, you would want to do something like PCA but it's sparse, then you can use the truncated SVD. Here, I'm just using the training set, 25,000 documents, I removed the stop words, and I set min_df=4. So basically, I removed the most common words, which are stop words, and I removed the very infrequent words. So I have a more reasonably sized vocabulary. And then I did a truncated SVD and extract 100 components. And so the components I extracted, are 100 X number of features. So I have 100 vectors, where each feature corresponds to one of the words in the vocabulary. --- .smaller[ ```python plt.semilogy(lsa.explained_variance_ratio_) ``` ] .center[  ] ??? As we saw with PCA, we can look at the explained variance ratio. Here's is a semi-log scale. And you can see that the first one or two explain a lot and then rapidly decreases. A lot is captured in the first 10, and then it goes down. But still at 100, there's still a lot of variances left, so it'll just probably go down logarithmically as it goes on. We can also look at the eigenvectors with the highest singular values. --- # First Six eigenvectors .center[  ] ??? Here are the 6 first eigenvectors. I'm showing only the entries that have the largest magnitude, either positive or negative. I'm showing the 10 largest magnitudes entries of each of the eigenvectors. So again, keep in mind that the sign doesn't really mean anything, since its eigenvalues, but sort of the relative sign means something. So the first one is sort of what you would usually get. They're all positive because all entries in the data matrix are positive since its bag of words. This is sort of, in a sense, just translating into the middle of the data, somewhat similar to trying to model the mean. ‘Movie’ and ‘film’ are obviously the most common words. The second eigenvector is whether someone uses the word ‘movies’ or ‘films’. You can see that either someone uses ‘film’ and ‘films’ or ‘movie’ and ‘movies’. Basically, people don't usually use both of them in the same comment. It is just interesting that this is the one of the largest components of variances, whether a person uses this one word or this other word that is completely synonymous. Points in direction of mean --- # Scale before LSA ```python from sklearn.preprocessing import MaxAbsScaler scaler = MaxAbsScaler() X_scaled = scaler.fit_transform(X_train) lsa_scaled = TruncatedSVD(n_components=100) X_lsa_scaled = lsa_scaled.fit_transform(X_scaled) ``` ??? There are 2 things that you can do, you can normalize for the length of the document, or you can scale so that all the features are on the same scale. MaxAbsScaler performs the same way as a standard scaler, only it doesn't subtract the mean. So it just scales everything to have the same maximum absolute value. And so in this sense, I'm basically scaling down film and movie to have the same importance as the other words. I can also normalize and get rid of the length of the document. But I don't think it actually had an effect here. And then I can compute the same thing. - "Movie" and "Film" were dominating first couple of components. Try to get rid of that effect. --- # Eigenvectors after scaling .center[  ] ??? This is the first six eigenvectors of LSA after scaling. The first one still points towards the direction of the mean. So I found some components like the third one here, which are interesting because I interpreted this as like a writer sophistication. So there are some people that use a lot of very short words and some people use a lot of very long words. So people that use words like ‘cinematography’ also use words like ‘performance’ and ‘excellent’. This also comes out from some of the other methods. And so I looked at a couple of these components and it turned out that the component 1 and the component 3 are actually related to the good and bad review. - Movie and film still important, but not that dominant any more. --- # Some Components Capture Sentiment .smallest[ ```python plt.scatter(X_lsa_scaled[:, 1], X_lsa_scaled[:, 3], alpha=.1, c=y_train) ``` ] .center[  ] .smallest[ ```python lr_lsa = LogisticRegression(C=100).fit(X_lsa_scaled[:, :10], y_train) lr_lsa.score(X_test_lsa_scaled[:, :10], y_test)``` ``` 0.827 ``` ```python lr_lsa.score(X_lsa_scaled[:, :10], y_train) ``` ``` 0.827 ``` ] ??? This scatter plot is positive reviews versus negative reviews. Some of the components actually capture the semantic attributes we are interested in. It was completely unsupervised, we didn't put that in and this is just a bunch of movie reviews. But these two components, actually, seem to be pretty related to the sentiment of the comment writer. I also run a logistic regression on 10 components and it was at 83% accuracy. I thought that was actually pretty good. It was 88% using the bag of word representation. So you got 88% if you used 30,000 dimensions, and you get 83% if you used 10 dimensions. So it is completely unsupervised compression of the data. So it's not as good as the original data set but if you take 100 components you recover the same accuracy. So these components definitely capture something that’s semantic, and it allows us to classify even if we use lower dimensional representation. - Not competitive but reasonable with just 10 components --- # NMF for topic models .center[  ] ??? The first model I want to use for this is NMF. In NMF, remember, we have a data matrix, X, which is now our large sparse matrix of word counts and we factorize this into HxW, H is the hidden or latent representation, and W represents the weights. --- class: compact # NMF Loss and algorithm Frobenius loss / squared loss ($ Y = H W$): `$$ l_{\text{frob}}(X, Y) = \sum_{i,j} (X_{ij} - Y_{ij})^ 2$$` Kulback-Leibler (KL) divergence: `$$ l_{\text{KL}}(X, Y) = \sum_{i,j} X_{ij} \log\left(\frac{X_{ij}}{Y_{ij}}\right) - X_{ij} + Y_{ij}$$` s.t. H, W all entries positive -- optimization : - Convex in either W or H, not both. - Randomly initialize (PCA?) - Iteratively update W and H (block coordinate descent) -- Transforming data: - Given new data `X_test`, fixed `W`, computing `H` requires optimization. ??? In literature: often everything transposed ??? You want X to be close to HxW, that’s the whole goal. There are 2 common ways in which people measure this. The first one at the top is called x norm, it's just least squares basically. So you look at the least squares difference element-wise between the entries in the X and the entries in the product, 〖HW〗_ij. This one is the mostly common used one and also the default in scikit-learn. The bottom one is the one which was originally proposed, which is basically, a version of the KDE, which is usually a measure that finds similarities between distributions. But here, it's applied basically to element-wise entries of this matrix. The authors use that because then they could drive nice ways to minimize this. Minimizing either of these is not convex but if you hold one of the two fixes, then minimizing the other one is convex. So you usually iterate doing either gradient descent or coordinate descent on H and then doing it on W, then you're iterate between the two. --- # NMF for topic models .center[  ] ??? When applying this to text, the rows of X, corresponds to movie reviews, the columns of X correspond to words. So that means the rows of H, correspond to documents, and the columns of H correspond to the importance of a given topic for a given document. The rows in W corresponds to topics, one row in W is lengths of vocabulary that states the words that are important for a particular topic. So you might have a component with like horror, scary, monster and so on. If the first topic is about horror movies, and the first movie is a horror movie, then it would be a large first component. Since everything is positive, and so the additive components are added together. That possibly makes it a little bit more interpretable. - Each row of W corresponds to one "topic" --- # NMF on Scaled Data .smallest[ ```python nmf_scale = NMF(n_components=100, verbose=10, tol=0.01) nmf_scale.fit(X_scaled) ``` ] .center[  ] ??? Sorted by "most active" components ??? NMF, as I said, is an iterative optimization so this runs way longer than the LSA. Q: What’s the variable ’tol’ do? A: It’s stopping tolerance. These are subsets of the columns of W. I’m visualizing the rows of W and I'm only looking at the ones that have large absolute values. So the Y values are the weight that this word has inside this topic. So the word ‘really’ has the weight of 7 in this first topic. So obviously, they have entries for all words, but I didn't put in a penalty so that they're sparse. So they'll have non-zero entries for all words, but sort of the interesting ones are the big ones. The way that I picked these 9 components here out of the 100 components was the ones that have the highest activation in X. I, then realize it might not be the most interesting thing. Might be more interesting to look at the ones that are less peaked. If you look at more components, you'll find other genre-specific components. One of the things you can do with this is you can find genre specific reviews by looking at the component that corresponds to it. --- class: center # NMF components without scaling  ??? I did the same thing without scaling. --- class: center # NMF with tfidf  ??? You can also run this on TF-IDF. Again, results are somewhat similar to before. The top-ranked components are now different. It really only makes sense if you look at all 100 components, but it's very hard to do. So I picked out just a couple. This was with a 100 components. That said, if you use fewer components, you get something that is much more general. --- # NMF with tfidf and 10 components .center[  ] ??? This is using 9 components. The first one, probably kind of models the mean and points in the center. Q: is the task here still to classify between good and bad reviews? The application of that I had in the back of my head is I'm interested in the reviews, good or bad, but this is all completely unsupervised. So I never put in anything about these two classes even existing. This is just trying to help me understand corpus overall. The main things that I found so far are that it finds things that are genre specific, some of them are very specific, like Star Wars and DC comics, some of them are less specific like horror movies, but then it finds some that are about sentiments. The reason why I call these topics is since they are additive. And so maybe someone would argue that this is not really a topic model, because it's not technically a topic perfect model but it does exactly the same as a topic model does. It does a positive decomposition. I think that's easier to interpret in this context. Because what does it mean for a document to be not about horror movies. Less number of components will give you more generic things. If you use more number of components, there might be generic components. If you want to force them to be generic, you can use fewer components. Using fewer components definitely makes it easy to look at them. A friend of mine who is an expert on topic models told me to always use thousands of components, and then go through all of them and see if something's interesting. --- class: center, middle #Latent Dirichlet Allocation # (the other LDA) (Not Linear Discriminant Analysis) ??? Next thing I want to talk about is LDA. We are going from simple models to more complex model. What people think about if they hear topic model is usually LDA. Dave Blei in the sets department invented LDA. This is like an incredibly popular model right now. --- # The LDA Model .center[  ] .smallest[ (stolen from Dave and John) ] ??? This a probabilistic generative model. The idea is you write down a generative process of how each document is created. This is similar to mixture models where basically, for each point you want to create, you picked one of the Gaussians and then you sample from it. That’s how we create points in this distribution. Similarly, in the LDA model, let's say, you're given some topics and these topics have, like word importance. Given the topics, the way that you generate a document would be, first, you draw which of these topics are important, and how important are they? Each document is a mixture of topics and then for each word, you decide which of these topics to you want to draw a word from. And then you draw a word from that topic, according to the word importance. This is clearly not really how text is generated but it's sort of reasonable proxy. This is based on the bag of word model so it only looks at word counts. It doesn't do that context at all. You could do it on bigrams, but that's not what people usually do. The idea is how likely is it that a word appears in this document and basically, for each word individually, you pick a topic, and then you generate a word from this topic and in the end, you end up with a big bag of word representation. The idea is that this a generative process, given corpus of documents, can I actually do inference in this? Can I find out what were the topics that generated this model? And what are the topic proportions for each of the documents? And what are the word assignments? So basically, you write down this generative process and then given your documents, you're trying to invert it and figure out what were the topics. - Generative probabilistic model (similar to mixture model) - Bayesian graphical model - Learning is probabilistic inference - Non-convex optimization (even harder than mixture models) --- .center[  ] .smallest[ - For each topic $k$, draw $\phi_k \sim \text{Dirichlet}(\beta), k = 1 ... K$ - For each document $d$ draw $\theta_d \sim \text{Dirichlet}(\alpha), d = 1 ... D$ - For each word $i$ in document $d$: * Draw a topic index $z_{di} \sim \text{Multinomial}(\theta_d)$ * Draw the observed word $w_{ij} \sim \text{Multinomial}(\phi_z)$ - (taken from Yang Ruan, Changsi An (http://salsahpc.indiana.edu/b649proj/proj3.html) ] ??? You can write down this generative model in flight notations. I don't think we looked at the plate notation yet because I don’t find it very helpful. So this is a depiction of the graphical model where basically, each of these circles is a variable. And these red things are called plates and they mean a variable is duplicated. So here, there are 2 parameters you specified beforehand, which are the hyperparameters, Alpha and Beta. Then there are K topics, I fixed the number of topics and I call them K. And for each topic, I have a distribution over words, like how important is each word in each topic. Then D goes over documents. So for each document, I have a distribution over the topics that states that a particular document is so much about this topic, and so much about another topic. So for each document, I have a vector that tells me the topic proportions. Finally, inside the document, for each word I have a variable, that tells me which topic the word belongs to and then given the topic, what is the word. Here, this outer plate is replicated along all the documents and then inside each document, for each word, there's the inner plate. But the only thing that I actually observe is basically the W, which is the word count. So I observed which words appeared in these documents. I also set alpha and beta as some prior parameters usually. What I want to find out is the topic distribution over words and the documents specific distributions over topics. So I want to know what the topics are and what topics are a given document about. This is very similar to the thing that we had in NMF. The flight notation graph can be read as A) The generative process or B) Dependency structure in the probability distribution. So basically, the distribution that you can easily think of is like, what should the work distribution be? And so the word, I choose it from a discreet of distribution, like given a particular topic, I take the distribution of words in this topic and I pick from that distribution. So this is a categorical distribution where you say, under this distribution, each word is so and so likely. So this multinomial distribution, this is how I pick a word given a topic. But the distribution in this is Dirichlet data distributions. Basically, you want the distribution over distribution, you want the distribution where the outcome is multinomial distribution, and for the W, I want multinomial distributions and so the pi, the outcome of drawing there, needs to be multinomial distribution. The national prior over things that give me multinomial distributions is called Dirichlet. - K topics = multinomial distributions over words - "mixture weights" for each document: * How important is each topic for this document * Each document contains multiple topics! --- ## Multinomial .smaller[It models the probability of counts for rolling a k-sided die n times.] .quote_author[wikipedia] $$ P(x_1, \dots, x_k |n, p_1, \dots, p_k) = \frac{n!}{x_1! \dots x_k!} p_1^{x_1} \dots p_k^{x^k}$$ -- ## Dirichlet `$$ P(x_1, \dots, x_k | \alpha_1, \dots \alpha_k)=\frac{1}{B(\alpha)} x_1^{\alpha_1 - 1} \dots x_k^{\alpha_k - 1} $$` ??? - if $p(x|\theta)$ is multimnomial (discrete distribution),
then $p(\theta) = \text{Dirichlet}(...)$ is a conjugate prior. This is how it looks in formula. For multinomial, let’s say I draw n words from a multinomial. There are k possible words, I draw n, so I draw the same word multiple times, and the probability of drawing a particular word is P1 to Pk. So then the probability of a specific draw is P1 to X1, and so on from Pk to the Xk and then normalized. Dirichlet is basically the same, only the other way around. You can see that here, the Ps in multicultural distribution become the Xs in Dirichlet distribution. Dirichlet looks exactly the same. Only now, you have a distribution over these base probabilities. That makes it very easy to include the data into the prior information and compute the posterior. --- # Conjugate Prior - Prior is called "conjugate" of the posterior has the same form as prior $$ P(\theta | x) = \frac{p(x | \theta)p(\theta)}{\int_{}^{} p(x | \theta^\prime)p(\theta^\prime)d\theta^\prime} $$ ??? The reason why we’re using generative prior is because of the conjugate prior of the multinomial distribution. Let’s say we have a prior over our word topic distribution and then we observe some words belonging to some of the topics, we have some evidence that these words are drawn from these topics and then we want to update our word topic prior, given the information that we saw. p(x|θ) would be our multinomial distribution, meaning given the topic, what are the multinomial distribution. And basically, we want p(θ|x) to be easy to compute. And it's easiest to compute if we use the conjugate prior here, because then posterior will have the same distribution as the prior. --- # Dirichlet Distributions .left-column[ PDF: $\qquad \frac{1}{B(\alpha)} \Pi_{i=1}^{K}{x_i^{\alpha_i - 1}}$ ] .right-column[ Mean: $\qquad E[X_i] = \frac{\alpha_i}{\sum_k{\alpha_k}}$ ] .center[  ] ??? Here are some examples in 3D. Dirichlet distribution is like a distribution over distributions. So a point drawn from Dirichlet distribution is a multinomial distribution. So here, let's say you have a multinomial with 3 variables, this lives inside the probability simplex in 3-dimensions. The dark blue sector is sort of the space all 3 numbers that sum up to one. And so now you can try put a prior on this. So we want to distribution over the simplex of all 3 numbers that add up to 1. And so what we're doing for LDA is usually, we make this sort of symmetric in all directions because we don't really have a preference for like, saying one topic is more important than the other topic, that's not our prior knowledge, because they are arbitrary. It’s pretty likely that all the topics are equally important, that means I have put math only in the very center or I can say, I didn't really know how important each of the topics is, and then you can get points at the corners, which means that each document can be about only a few topics. If you use this, then each document will be about many topics. And similarly, these priors use both on the document topic distribution, and on the topic word distribution. So similarly, for each topic, you can have each topic being very broad. So the third one means broad, you assign probability mass to most words. While the first one means you can assign probability mass only to a couple of the words. --- .center[  ] .smallest[ - For each topic $k$, draw $\phi_k \sim \text{Dirichlet}(\beta), k = 1 ... K$ - For each document $d$ draw $\theta_d \sim \text{Dirichlet}(\alpha), d = 1 ... D$ - For each word $i$ in document $d$: * Draw a topic index $z_{di} \sim \text{Multinomial}(\theta_d)$ * Draw the observed word $w_{ij} \sim \text{Multinomial}(\beta_z)$ - (taken from Yang Ruan, Changsi An (http://salsahpc.indiana.edu/b649proj/proj3.html) ] --- # Two Schools (of solvers) .left-column[ Gibbs Sampling - Implements MCMC - Standard procedure for any probabilistic model - Very accuracte - Very slow ] .right-column[ Variational Inference - Extension of expectation-maximization algorithm - Deterministic - fast(er) - Less accurate solutions - Championed by Dave Blei ] ??? There's basically 2 schools of thought on how we can best solve this. These are ways to do inference and generalize the models. Gibbs sampling is a form of MCMC, so it's like a stochastic simulation. Basically, you simulate process going on for a long time, you keep sampling and in the end, you get as a stationary distribution, the real distribution that you're interested in. This is very accurate. You can do this for any probabilistic model. But it's very slow because you need to simulate the process of generating the data for a long until it lines up with what's in the data. Gibbs sampling a form of sampling so it’s like a very random process. The other one is variational inference. This is more from an optimization perspective. This is very similar to the expectation-maximization algorithm that's used for GMMs, which is similar to that of the KMeans idea of alternating between assignment and maximization. This is a deterministic algorithm, it's quite a bit faster than Gibbs sampling usually, but less accurate. The way that it does approximations is not entirely clear. This is used by Dave Blei all the time. --- # Pick a solver - “Small data” (<= 10k? Documents): * Gibbs sampling (lda package, MALLET in Java) - “Medium data” (<= 1M? Documents): * Variational Inference (scikit-learn default) - “Large Data” (>1M? Documents): * Stochastic Variational Inference * SVI allows online learning (partial_fit) - Tensorflow Probability https://www.tensorflow.org/probability * Tensor-flow based framework for stochastic variational inference. * Used to be Edward by Dustin Tran (Blei Lab) ??? Pick a solver depending on the amount of the documents you have. Ida package (Python) and MALLET (Java) works well if you have very few documents. Otherwise, it gets too slow. Variational inference or batch variational inference, which will be the default in scikit-learn in the future. Both are used on medium sized documents. For large data, you can do stochastic variation inference, which is the current default in scikit-learn. But that's sort of an approximation to the approximation. It's something like doing stochastic gradient descent on the optimization variational inference. Partial_fit can be used on streaming data. If you’re more serious about this, look at the works of Dustin Tran. He created Edward, I think it's now incorporated into TensorFlow. It’s a library for doing variational inference in all kinds of different graphical models with GPU acceleration. Talking about SGD, maybe it's good if have a lot of data, maybe it's worth doing an approximation that allows you to use all the data, if the other option is to do something that’s fairly exact, but you have to subsample your data a lot, then that might give you worse results than just doing something that's pretty bad. SVI is maybe not the greatest optimizer but it allows you to use large amounts of data, and so in the end to get a better result. Variational might be more sensitive to hyper parameters? Or give different results? --- .smallest[ ```python from sklearn.decomposition import LatentDirichletAllocation lda = LatentDirichletAllocation(n_components=10, learning_method="batch") X_lda = lda.fit_transform(X_train) ``` ] .center[  ] ??? Implementing in scikit-learn is pretty straightforward. The components are not ordered, and changing number of components changes everything. Here, I do learning_method=batch and the other one is learning_method=online, but since the dataset is not that big, it'll just give me sort of worse results. Everything is positive because these are now the word topic matrices. It tells me if I picked this topic, what's the probability of each of these words and they're actually on a log scale. They sum up to 1 in a sense. This is using 10 topics, so this is pretty generic. - Very generic, similar to NMF(n_components=10). TV Series, “family drama”, and “history / war” topics --- .smallest[ ```python lda100 = LatentDirichletAllocation(n_components=100, learning_method="batch") X_lda100 = lda100.fit_transform(X_train) ``` ] .center[  ] ??? This showing 9 out of 100 documents. --- .center[  ] ??? Here, I picked out a couple of topics that I thought were interesting. One thing that you can do is try to interpret this. You can use both this and NMF as a representation for classification, for example. There's no guarantee that it's a good representation, but it might be a better representation than the bag of words. If you do the NMF with 100 components, you actually get a slightly better result than if you use just a bag of word vectors. Doing the NMF actually helps you to get some features that are semantic for the task of classifying good versus bad reviews. --- # Hyper-Parameters - $\alpha$ (or $\theta$) = doc_topic_prior - $\beta$ (or $\eta$) = topic_word_prior - Both dirichlet distributions - Large value $\xrightarrow[]{}$ more dispersed - Small value $\xrightarrow[]{}$ more concentrated .center[  ] ??? I want to talk a little bit more about the specifics for LDA. There are 2 parameters that you need to tune. Both are Dirichlet priors over distribution, one over the topic distribution and one over the document topic distribution. Large value use means that they're more dispersed. Small values mean they’re more concentrated. --- class: middle # Rough overview of MCMC and Gibbs sampling --- # Markov-Chain Monte-Carlo (MCMC) **Goal**: Sample from complex distribution $p(X_1, ... X_n)$. **Monte Carlo algorithm**: "correct in expectation" / "correct on average" **Markov Chain**: a sequence of probability distribution, each depending only on the previous state. **Markov Chain Monte Carlo**: a sequence of probability distributions so that on average you sample from the target distribution. (The stationary distribution of the Markov chain is the target distribution $p$) --- # Gibbs Sampling **Goal**: Sample from complex distribution $p(X_1, ... X_n)$. **Assumption**: Can sample from conditional `$p(X_i|X_{j\neq i})$` --
Initialize
Start from random initialization $(x^0_1, ..., x^0_n)$ Construct $x^{k+1}$ from $x^k$: `$$ x^{k+1}_0 \propto p(X_i| x^{k}_{1}, ..., x^{k}_{n})$$` `$$ x^{k+1}_i \propto p(X_i|x^{k+1}_0, ..., x^{k+1}_{i-1}, x^{k}_{i+1}, ..., x^{k}_{n})$$` --- # (Block) Gibbs Sampling for LDA .center[  ] ??? This is sort of the generative process of the data. And so what Gibbs sampling does is, we observe the words W and we are given the priors, alpha, and beta, so now we want to figure out the word topic indicators and the documents specific distribution over topics and topic distribution over words. The way that Gibbs sampling works is it basically assigns these randomly and then draws the posterior distribution for each of these variables, given all the other variables. So if we know all the words and the topic assignments of the words, then we can look at what's the distribution of the topics over words likely to be. If we know alpha, we know all the topic distributions for each document then we can also compute the document specific distributions over topics. So basically, if you know all the information that's connected to give node, you can draw this given node, given all the other information. And then you just iterate these. I'm not sure how to phrase this…given all the other variables, you can randomly draw one of the variables and then fix these and randomly draw the other variables. And this gives you sort of a mark of change, meaning that every time you draw this, the distribution over the other things will change. And if you keep drawing and keep drawing, in the end, you will get to a distribution, which is sort of the correct posterior. Which just means it's going to be the most likely assignment of topics, given to documents. If you do this, if you fix the document specific distribution over topics and if you fix the topic distribution over works, then all of the documents become independent, because everything that you need to know about one document is already covered in the documents specific distribution over topics and the other documents don't really matter. If you do it this way, you can easily paralyze it over documents, for example. -- Updates sampled from: `$p(z_{iv} = k \, \vert \, \mathbf{\theta}_i, \phi_k) \propto \exp(\log \theta_{ik} + \log \phi_{k, y_{iv}})$` `$p(\theta_i \, \vert \, z_{iv} = k, \phi_k) = \text{Dir}(\alpha + \sum_l \mathbb{I}(z_{il} = k))$` `$p(\phi_k \, \vert \, z_{iv} = k, \mathbf{\theta}_i) = \text{Dir}(\beta + \sum_i \sum_l \mathbb{I}(y_{il} = v, z_{il} = k))$` ??? i is index for documents, v is index for words in document, k index for topics. z is word-topic assignments. $z_{iv}=k$ means word v in document i is assigned topic k. $\theta$ is document topic distribution, $\theta_{ik}$ is the probability of a word in document i to come from topic k. $y_{iv}$ is the actual word (word-index) of word v in document i. $\phi_{k, y}$ is the probability of a drawing word y from document k. $\phi_{k, y_{iv}}$ is the probability --- # Collapsed Gibbs Sampling for LDA .center[  ] Sample only `$p(z_i=k|\mathbf{z}_{-i})$` Compute $\theta$, $\phi$ from $\mathbf{z}$ ??? If you don't want to paralyze it, you can reformulate Gibbs sampling into collapsed Gibbs sampling, where we only look at the topic so we can analytically compute away π and theta and we can look only at z, which is the topic assignments for each word. And we can only draw the Zs for each word, in order for each word we draw which topic this word comes from. The problem with this is if we integrate this and this (the smallest and the largest red rectangle) then all of the different words will be dependent. So we can't do this in parallel anymore, we have to go word by word and for each word we draw, what's the probability of this word belonging to this topic given all the other word assignments. This makes the math a little bit easier, but it means it's going to be sequential. Once we computed all these word topic assignments we can then get the topic distribution over words and the documents specific distribution over topics (once we have all the z_is) Now looking at all documents together (i goes over words and documents). $z_{-i}$ is word-topic assignments for all other words for all documents. Now sequential problem! --- # Further Reading - Rethinking LDA: Why Priors Matter - Hanna Wallach - LDA Revisited: Entropy, Prior and Convergence – Zhang et. al. ??? If you want to learn more about this, in particular, about the practical aspects of this, there are 2 papers that I really recommend. Both of these talk more about how to use LDA in practice and how to tune hyperparameters and so on. One thing I want to say is that the hyperparameters behave actually quite different for the variational inference and the Gibbs sampling. I think the first paper uses Gibbs sampling, and the second uses inference. Things are very different between these two approaches, even though you're trying to optimize the same probabilistic model. --- class: middle # Questions ?